The capacity of your lungs and the speed in which you breathe is what we consider CFM, cubic feet per minute.
The QGS line of air compressors is good for manufacturing processes that require a regulated, steady airflow on a constant basis, such as electronics productions. cycle duty actuator linear calculator You breathe in to fill up your lungs and breathe out, pushing air into the balloon. injector calculator cycle duty gtsparkplugs calculators automotive fuel water heater refrigerator heat cop conditioner problem air determine kw frequency timer cycle duty calculator Here are a few ways to lengthen your cycle time andmake your air compressor more efficient: Vacuum pumps work very similarly to air compressors in that they use the same technology that creates compressed air. cycle working characteristics compressors compression operation complete Not all DC compressors without a tank are going to be considered a 100% duty cycle either. If an air compressorhas a50% duty cycle, the compressorcan provideair power for half of its total cycle time. Consider an air compressor with a total cycle time of 10 minutes that must run for 6 minutes and spend 4 minutes resting or cooling down. flasher calculating wikitechy QGV rotary screw air compressorsare big and powerful units that offer between 40 and 200 horsepower, making these compressors ideal for intense applications that necessitate constant airflow. An air compressor with a run time this low would mostly be suitable for small applications that require only intermittent air power, such as domestic, portable compressors used by independent craftspeople. Sizing your compressed air system properly is extremely important to prevent over-cycling or shortening the life span of your system. duty cycle multivibrator astable using Easy, right? QGS series air compressors aredesigned for 100% duty cycles.
If listed as a percentage, you can simply take the number of seconds or minutesthefigure represents and subtract that from the total cycle time. During operations, the compressor would need one minute and 30 seconds of rest between every 30 seconds of pressurization activity. DC compressors without a tank are considered 100% duty cycle compressors because they dont store air at all, just continually compress and deliver air as long as they are being used. TheQP two-stage air compressoris a small, standing unit that offers a working pressure of 175 psi, allowing users to connect multiple pneumatic tools for simultaneous use at intermittent duty cycles. pulse width modulation duty cycle formula calculate ton circuits circuitstoday QSI rotary screw air compressors are large units built for long-lasting performance in some of the most demanding environments. The QGDV also offers 125 psig, making it possible to power multiple tools and pneumatic devices simultaneously. Look up 'duty cycle' and you're likely to find a ton of complicated information, but it's actually a simple concept.
Generally, the duty cycle is used to help define the amount of time a compressor will spend cycling on-and-off while working at a consistent pressure (PSI) and flow (CFM). Lifting heavy in-process works in furniture factories and automobile manufacturing facilities. For example, a compressor that advertises a 100% duty cycle might provide 125 PSI and 25 CFM for the entire compressor cycle time. Compressors that fit this class are referred to as continuous duty air compressors. Any deviationfromthese factors can affect a compressors cycle time. Here are a few examples of small compressed air systems that work for shorter durations: Single-stage portable piston air compressorsare small units that are conveniently designed for home craftspeople. compressor cycle duty air characterization The QGD is also a reasonably quiet unit with a 66 A-weighted decibel (dBA) sound level. Properly size your air compressor to limit the risk of over-cycling and reducing the lifespan of your system. In this article, we cover everything you need to know about what duty cycles are and how they relate to air compressors.
lowering Air compressorswith a75% duty cycle will run for three-fourths ofthetotal cycle time. This is why it is an important measuring tool for sizing an air compressor. duty cycle formula calculator linear motion There are vast differences in quality. So,what does the duty cycle mean on an air compressor? inductance diagram If you need to cut pieces of wood or metal to specific measurements, a single-stage compressor can help you complete the job with ease and satisfaction. With actual cubic feet per minute in the range of 70.8 to 141.3, the QGDV is ideal formanypneumatic applications, including some of the heaviest and lightest operations. duty calculator linear motion
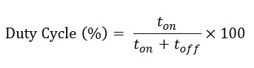
transmittion The number of times an air compressor cycles significantly impacts the air compression systemsefficiency. The QGS can also offer anywhere from 16 to 460 actual cubic feet per minute (ACFM), ensuring you can get as little or as much air as you need to flow through the unit at a given time, whether an application demands a restricted or high-volume airflow. The duty cycle is generally accepted as a guideline to help people understand how often a compressor will be cycling on-and-off while working, but keep in mind there is no standard definition all manufacturers use to describe their compressor's duty cycle. In a rotary screw air compressor, air passes through the rotors of two counter-rotating helical screws. The number of times your compressor can cycle will depend on the cycle time for that machine and the duty cycle rating. The QP is ideal for various applications that require intermittent airflow. QGDs support heavy-duty cycles and are generallysuitablefor factory settings. air pressure energy recover costs compressed systems regulator reduce response process does cycle duty reduce ways must there sample figure figure2 cycle duty calculate circuit components electronics astable dummies Drop the pressure between the main storage tank and the compressor. Most rotary screw models offer 100% duty cycles, allowing users to power nonstop pneumatic processes. The duty cycle of an air compressor, sometimes referred to as run time vs. rest time, is determined using the total compressor cycle time from when the compressor runs, stops and runs again. This formula is almost always expressed as Compressor run time / (run time + rest time) = Duty Cycle percentage. More technically, an air compressor's duty cycle refers to how long it takes its pump (driven by a motor) to fill up its tank. In some cases, a customer might expect to get a continuous duty cycle air compressor when making that initial investment, only to findthemachine in question merely offers a 50% duty cycle. If the specs of an air compressor specify a 30% duty-cycle rating, this would mean the run time is one-third of the total cycle time. For example, a compressor with a 25% duty cycle will need 45 minutes of downtime out of every hour, meaning it can be active for 15 minutes. Powering mechanics tools, such as pneumaticwrenches and nailers, which only need power for seconds at a time every few minutes. If you work with materials that need to be glued or painted, the single-stage compressor will power the tools that make the job easier and more efficient. This site is protected by reCAPTCHA and the Google, Climate Control Compressor Sizing Analysis, Simplex & Duplex Compressor Starts per Hour, Rotary Screw Compressor Coolant Carry Over, What You Need to Know About Air Compressor Duty Cycles, (Contact us if your Country is not listed. How to Pick the Perfect DC Air Compressor, How to Pick The Perfect Rotary Screw Compressor, How to Pick the Perfect Industrial Air Compressor, {"storeName":"Air Compressors Direct","storeID":"1","headerNavJSON":"{\"MainLinks\":[{\"URL\":\"tools\\\/portable-air-compressors.html\",\"displayText\":\"Portable Air Compressors\",\"sectionLinks\":{\"columns\":\"6\",\"linkItems\":[{\"URL\":\"tools\\\/portable-vertical-air-compressors.html\",\"imageURL\":\"nav-image\\\/100\\\/portable-1-1.jpg\",\"displayText\":\"Vertical\"},{\"URL\":\"tools\\\/portable-horizontal-air-compressors.html\",\"imageURL\":\"nav-image\\\/100\\\/portable-1-2.jpg\",\"displayText\":\"Horizontal\"},{\"URL\":\"tools\\\/small-air-compressors.html\",\"imageURL\":\"nav-image\\\/100\\\/portable-1-3.jpg\",\"displayText\":\"Small\"},{\"URL\":\"tools\\\/truck-mount-air-compressors.html\",\"imageURL\":\"nav-image\\\/100\\\/portable-1-4.jpg\",\"displayText\":\"Truck Mount\"},{\"URL\":\"tools\\\/wheelbarrow-air-compressors.html\",\"imageURL\":\"nav-image\\\/100\\\/portable-1-5.jpg\",\"displayText\":\"Wheelbarrow\"},{\"URL\":\"tools\\\/tow-behind-air-compressor.html\",\"imageURL\":\"nav-image\\\/100\\\/portable-1-6.jpg\",\"displayText\":\"Tow-Behind\"}]},\"subCategories\":[{\"URL\":null,\"type\":\"list\",\"title\":\"Popular Categories\",\"linkItems\":[{\"URL\":\"tools\\\/oil-free-air-compressors.html\",\"displayText\":\"Oil Free\"},{\"URL\":\"tools\\\/oil-lubricated-portable-air-compressors.html\",\"displayText\":\"Oil Lubricated\"},{\"URL\":\"tools\\\/12-volt-portable-air-compressors.html\",\"displayText\":\"12-Volt\"},{\"URL\":\"tools\\\/small-pancake-air-compressors.html\",\"displayText\":\"Pancake\"},{\"URL\":\"tools\\\/twin-stack-air-compressors.html\",\"displayText\":\"Twin Stack\"}]},{\"URL\":null,\"type\":\"list\",\"title\":\"Shop by Tank Size\",\"linkItems\":[{\"URL\":\"tools\\\/30-gallon-portable-air-compressors.html\",\"displayText\":\"30 Gallon\"},{\"URL\":\"tools\\\/20-gallon-portable-air-compressors.html\",\"displayText\":\"20 Gallon\"},{\"URL\":\"tools\\\/10-gallon-portable-air-compressors.html\",\"displayText\":\"10 Gallon\"},{\"URL\":\"tools\\\/8-gallon-portable-air-compressors.html\",\"displayText\":\"8 Gallon\"},{\"URL\":\"tools\\\/4-gallon-portable-air-compressors.html\",\"displayText\":\"4 Gallon\"}]},{\"URL\":null,\"type\":\"list\",\"title\":\"Shop by HP\",\"linkItems\":[{\"URL\":\"tools\\\/5-5-hp-portable-air-compressors.html\",\"displayText\":\"5.5 HP\"},{\"URL\":\"tools\\\/3-hp-portable-air-compressors.html\",\"displayText\":\"3 HP\"},{\"URL\":\"tools\\\/2-hp-portable-air-compressors.html\",\"displayText\":\"2 HP\"},{\"URL\":\"tools\\\/1-5-hp-portable-air-compressors.html\",\"displayText\":\"1.5 HP\"},{\"URL\":\"tools\\\/1-hp-portable-air-compressors.html\",\"displayText\":\"1 HP\"}]},{\"URL\":null,\"type\":\"list\",\"title\":\"Popular Brands\",\"linkItems\":[{\"URL\":\"tools\\\/california-air-tools-portable-compressors.html\",\"displayText\":\"California Air Tools\"},{\"URL\":\"tools\\\/puma-portable-compressors.html\",\"displayText\":\"Puma\"},{\"URL\":\"tools\\\/eagle-portable-air-compressors.html\",\"displayText\":\"Eagle\"},{\"URL\":\"tools\\\/campbell-hausfeld-portable-compressors.html\",\"displayText\":\"Campbell Hausfeld\"},{\"URL\":\"tools\\\/industrial-air-portable-air-compressors.html\",\"displayText\":\"Industrial Air\"}]}]},{\"URL\":\"tools\\\/gas-air-compressors.html\",\"displayText\":\"Gas Air Compressors\",\"sectionLinks\":{\"columns\":\"6\",\"linkItems\":[{\"URL\":\"tools\\\/gas-powered-truck-mounted-air-compressors.html\",\"imageURL\":\"nav-image\\\/100\\\/gas-1-1.jpg\",\"displayText\":\"Truck Mount\"},{\"URL\":\"tools\\\/portable-gas-air-compressors.html\",\"imageURL\":\"nav-image\\\/100\\\/gas-1-2.jpg\",\"displayText\":\"Portable\"},{\"URL\":\"tools\\\/gas-wheelbarrow-air-compressors.html\",\"imageURL\":\"nav-image\\\/100\\\/gas-1-3.jpg\",\"displayText\":\"Wheelbarrow\"},{\"URL\":\"tools\\\/tow-behind-air-compressor.html\",\"imageURL\":\"nav-image\\\/100\\\/gas-1-4.jpg\",\"displayText\":\"Tow-Behind\"},{\"URL\":\"tools\\\/gas-twin-stack-air-compressors.html\",\"imageURL\":\"nav-image\\\/100\\\/gas-1-5.jpg\",\"displayText\":\"Twin-Stack\"}]},\"subCategories\":[{\"URL\":null,\"type\":\"list\",\"title\":\"Shop by Brand\",\"linkItems\":[{\"URL\":\"tools\\\/ingersoll-rand-gas-compressors.html\",\"displayText\":\"Ingersoll Rand\"},{\"URL\":\"tools\\\/tools\\\/eagle-gas-compressors.html\",\"displayText\":\"Eagle\"},{\"URL\":\"tools\\\/rolair-gas-compressors.html\",\"displayText\":\"Rolair\"},{\"URL\":\"tools\\\/sullair-gas-air-compressors.html\",\"displayText\":\"Sullair\"},{\"URL\":\"tools\\\/puma-gas-air-compressors.html\",\"displayText\":\"Puma\"}]},{\"URL\":null,\"type\":\"list\",\"title\":\"Shop by Tank Size\",\"linkItems\":[{\"URL\":\"tools\\\/4-gallon-gas-air-compressors.html\",\"displayText\":\"4 Gallon\"},{\"URL\":\"tools\\\/8-gallon-gas-air-compressors.html\",\"displayText\":\"8 Gallon\"},{\"URL\":\"tools\\\/10-gallon-gas-air-compressors.html\",\"displayText\":\"10 Gallon\"},{\"URL\":\"tools\\\/25-gallon-gas-air-compressors.html\",\"displayText\":\"25 Gallon\"},{\"URL\":\"tools\\\/30-gallon-gas-air-compressors.html\",\"displayText\":\"30 Gallon\"}]},{\"URL\":null,\"type\":\"list\",\"title\":\"Shop by HP\",\"linkItems\":[{\"URL\":\"tools\\\/3-5-hp-gas-air-compressors.html\",\"displayText\":\"3.5 HP\"},{\"URL\":\"tools\\\/5-5-hp-gas-air-compressors.html\",\"displayText\":\"5.5 HP\"},{\"URL\":\"tools\\\/9-hp-gas-air-compressors.html\",\"displayText\":\"9 HP\"},{\"URL\":\"tools\\\/13-hp-gas-air-compressors.html\",\"displayText\":\"13 HP\"},{\"URL\":\"tools\\\/18-hp-gas-air-compressors.html\",\"displayText\":\"18 HP\"}]},{\"URL\":\"stories\\\/329-How-to-Pick-the-Perfect-Gas-Truck-Mount-Air-Compressor.html\",\"type\":\"image\",\"title\":\"Buyer's Guide\",\"imageURL\":\"nav-article-image\\\/305\\\/social_img_329.jpg\",\"linkItems\":[],\"displayText\":\"Gas Truck-Mount Compressor Buyer's Guide\"}]},{\"URL\":\"tools\\\/single-stage-air-compressors.html\",\"displayText\":\"Single-Stage Air Compressors\",\"sectionLinks\":{\"columns\":\"6\",\"linkItems\":[{\"URL\":\"tools\\\/80-gallon-single-stage-air-compressors.html\",\"imageURL\":\"nav-image\\\/100\\\/single-stage-1-1.jpg\",\"displayText\":\"80 Gallon\"},{\"URL\":\"tools\\\/60-gallon-single-stage-air-compressors.html\",\"imageURL\":\"nav-image\\\/100\\\/single-stage-1-2.jpg\",\"displayText\":\"60 Gallon\"},{\"URL\":\"tools\\\/20-gallon-single-stage-air-compressors.html\",\"imageURL\":\"nav-image\\\/100\\\/single-stage-1-3.jpg\",\"displayText\":\"20 Gallon\"},{\"URL\":\"tools\\\/10-gallon-single-stage-air-compressors.html\",\"imageURL\":\"nav-image\\\/100\\\/single-stage-1-4.jpg\",\"displayText\":\"10 Gallon\"},{\"URL\":\"tools\\\/8-gallon-single-stage-air-compressors.html\",\"imageURL\":\"nav-image\\\/100\\\/single-stage-1-5.jpg\",\"displayText\":\"8 Gallon\"}]},\"subCategories\":[{\"URL\":null,\"type\":\"list\",\"title\":\"Shop by HP\",\"linkItems\":[{\"URL\":\"tools\\\/7-hp-single-stage-air-compressors.html\",\"displayText\":\"7 HP\"},{\"URL\":\"tools\\\/5-hp-single-stage-air-compressors.html\",\"displayText\":\"5 HP\"},{\"URL\":\"tools\\\/3-hp-single-stage-air-compressors.html\",\"displayText\":\"3 HP\"},{\"URL\":\"tools\\\/2-hp-single-stage-air-compressors.html\",\"displayText\":\"2 HP\"},{\"URL\":\"tools\\\/1-hp-single-stage-air-compressors.html\",\"displayText\":\"1 HP\"}]},{\"URL\":null,\"type\":\"list\",\"title\":\"Shop by Brand\",\"linkItems\":[{\"URL\":\"tools\\\/quincy-single-stage-air-compressors.html\",\"displayText\":\"Quincy\"},{\"URL\":\"tools\\\/california-air-tools-single-stage-compressors.html\",\"displayText\":\"California Air Tools\"},{\"URL\":\"tools\\\/campbell-hausfeld-single-stage-compressors.html\",\"displayText\":\"Campbell Hausfeld\"},{\"URL\":\"tools\\\/ingersoll-rand-single-stage-air-compressors.html\",\"displayText\":\"Ingersoll Rand\"},{\"URL\":\"tools\\\/industrial-air-single-stage-air-compressors.html\",\"displayText\":\"Industrial Air\"}]},{\"URL\":null,\"type\":\"list\",\"title\":\"Shop by CFM\",\"linkItems\":[{\"URL\":\"tools\\\/2-6-cfm-single-stage-air-compressors.html\",\"displayText\":\"2-6 CFM\"},{\"URL\":\"tools\\\/7-12-cfm-single-stage-air-compressors.html\",\"displayText\":\"7-12 CFM\"},{\"URL\":\"tools\\\/13-18-cfm-single-stage-air-compressors.html\",\"displayText\":\"13-18 CFM\"},{\"URL\":\"tools\\\/19-34-cfm-single-stage-air-compressors.html\",\"displayText\":\"19-34 CFM\"}]},{\"URL\":\"stories\\\/330-How-to-Pick-the-Perfect-Single-Stage-Compressor.html\",\"type\":\"image\",\"title\":\"Buyer's Guide\",\"imageURL\":\"nav-article-image\\\/305\\\/social_img_330.jpg\",\"linkItems\":[],\"displayText\":\"Stationary Single-Stage Compressor Buyer's Guide\"}]},{\"URL\":\"tools\\\/two-stage-air-compressors.html\",\"displayText\":\"Two-Stage Air Compressors\",\"sectionLinks\":{\"columns\":\"6\",\"linkItems\":[{\"URL\":\"tools\\\/60-gallon-2-stage-air-compressors.html\",\"imageURL\":\"nav-image\\\/100\\\/two-stage-1-1.jpg\",\"displayText\":\"60 Gallon\"},{\"URL\":\"tools\\\/80-gallon-2-stage-air-compressors.html\",\"imageURL\":\"nav-image\\\/100\\\/two-stage-1-2.jpg\",\"displayText\":\"80 Gallon\"},{\"URL\":\"tools\\\/120-gallon-2-stage-air-compressors.html\",\"imageURL\":\"nav-image\\\/100\\\/two-stage-1-3.jpg\",\"displayText\":\"120 Gallon\"},{\"URL\":\"tools\\\/5-horsepower-2-stage-air-compressors.html\",\"imageURL\":\"nav-image\\\/100\\\/two-stage-1-4.jpg\",\"displayText\":\"5 HP\"},{\"URL\":\"tools\\\/7-5-horsepower-2-stage-air-compressors.html\",\"imageURL\":\"nav-image\\\/100\\\/two-stage-1-5.jpg\",\"displayText\":\"7.5 HP\"},{\"URL\":\"tools\\\/10-horsepower-2-stage-air-compressors.html\",\"imageURL\":\"nav-image\\\/100\\\/two-stage-1-6.jpg\",\"displayText\":\"10 HP\"}]},\"subCategories\":[{\"URL\":null,\"type\":\"list\",\"title\":\"Shop by Phase\",\"linkItems\":[{\"URL\":\"tools\\\/single-phase-two-stage-compressors.html\",\"displayText\":\"Single-Phase\"},{\"URL\":\"tools\\\/three-phase-two-stage-compressors.html\",\"displayText\":\"3-Phase\"}]},{\"URL\":null,\"type\":\"list\",\"title\":\"Shop by Brand\",\"linkItems\":[{\"URL\":\"tools\\\/ingersoll-rand-two-stage-air-compressors.html\",\"displayText\":\"Ingersoll Rand\"},{\"URL\":\"tools\\\/quincy-two-stage-air-compressors.html\",\"displayText\":\"Quincy\"},{\"URL\":\"tools\\\/emax-two-stage-air-compressors.html\",\"displayText\":\"EMAX\"},{\"URL\":\"tools\\\/atlas-copco-two-stage-air-compressors.html\",\"displayText\":\"Atlas Copco\"},{\"URL\":\"tools\\\/dewalt-two-stage-compressors.html\",\"displayText\":\"DeWalt\"}]},{\"URL\":null,\"type\":\"list\",\"title\":\"Shop by CFM\",\"linkItems\":[{\"URL\":\"tools\\\/10-25-cfm-2-stage-air-compressors.html\",\"displayText\":\"10-25 CFM\"},{\"URL\":\"tools\\\/26-35-cfm-2-stage-air-compressors.html\",\"displayText\":\"26-35 CFM\"},{\"URL\":\"tools\\\/36-45-cfm-2-stage-air-compressors.html\",\"displayText\":\"36-45 CFM\"},{\"URL\":\"tools\\\/46-55-cfm-2-stage-air-compressors.html\",\"displayText\":\"46-55 CFM\"},{\"URL\":\"tools\\\/56-plus-cfm-2-stage-air-compressors.html\",\"displayText\":\"56+ CFM\"}]},{\"URL\":\"stories\\\/257-How-To-Pick-The-Perfect-Two-Stage-Air-Compressor.html\",\"type\":\"image\",\"title\":\"Buyer's Guide\",\"imageURL\":\"nav-article-image\\\/305\\\/social_img_257.jpg\",\"linkItems\":[],\"displayText\":\"Two-Stage Air Compressor Buyer's Guide\"}]},{\"URL\":\"tools\\\/rotary-screw-air-compressors.html\",\"displayText\":\"Rotary Screw Air Compressors\",\"sectionLinks\":{\"columns\":\"6\",\"linkItems\":[{\"URL\":\"tools\\\/single-phase-rotary-screw-compressors.html\",\"imageURL\":\"nav-image\\\/100\\\/rotary-1-1.jpg\",\"displayText\":\"Single-Phase\"},{\"URL\":\"tools\\\/three-phase-rotary-screw-compressors.html\",\"imageURL\":\"nav-image\\\/100\\\/rotary-1-2.jpg\",\"displayText\":\"3-Phase\"},{\"URL\":\"tools\\\/rotary-screw-75-plus-cfm.html\",\"imageURL\":\"nav-image\\\/100\\\/rotary-1-3.jpg\",\"displayText\":\"75+ CFM\"},{\"URL\":\"tools\\\/rotary-screw-20-34-cfm.html\",\"imageURL\":\"nav-image\\\/100\\\/rotary-1-4.jpg\",\"displayText\":\"20-34 CFM\"},{\"URL\":\"tools\\\/rotary-screw-10-19-cfm.html\",\"imageURL\":\"nav-image\\\/100\\\/rotary-1-5.jpg\",\"displayText\":\"10-19 CFM\"}]},\"subCategories\":[{\"URL\":null,\"type\":\"list\",\"title\":\"Shop by HP\",\"linkItems\":[{\"URL\":\"tools\\\/rotary-screw-5-hp.html\",\"displayText\":\"5 HP\"},{\"URL\":\"tools\\\/rotary-screw-7-5-hp.html\",\"displayText\":\"7.5 HP\"},{\"URL\":\"tools\\\/rotary-screw-10-hp.html\",\"displayText\":\"10 HP\"},{\"URL\":\"tools\\\/rotary-screw-15-hp.html\",\"displayText\":\"15 HP\"},{\"URL\":\"tools\\\/rotary-screw-20-hp.html\",\"displayText\":\"20 HP\"}]},{\"URL\":null,\"type\":\"list\",\"title\":\"Shop by Brand\",\"linkItems\":[{\"URL\":\"tools\\\/atlas-copco-rotary-screw-air-compressors.html\",\"displayText\":\"Atlas Copco\"},{\"URL\":\"tools\\\/ingersoll-rand-rotary-screw-air-compressors.html\",\"displayText\":\"Ingersoll Rand\"},{\"URL\":\"tools\\\/quincy-rotary-screw-air-compressors.html\",\"displayText\":\"Quincy\"},{\"URL\":\"tools\\\/emax-rotary-screw-air-compressors.html\",\"displayText\":\"EMAX\"},{\"URL\":\"tools\\\/sullair-rotary-screw-air-compressors.html\",\"displayText\":\"Sullair\"}]},{\"URL\":null,\"type\":\"list\",\"title\":\"Shop by Voltage\",\"linkItems\":[{\"URL\":\"tools\\\/rotary-screw-208v-3.html\",\"displayText\":\"208V-3 Phase\"},{\"URL\":\"tools\\\/rotary-screw-230v-single.html\",\"displayText\":\"230V-1 Phase\"},{\"URL\":\"tools\\\/rotary-screw-230v-3.html\",\"displayText\":\"230V-3 Phase\"},{\"URL\":\"tools\\\/rotary-screw-208-230-460v-3.html\",\"displayText\":\"208\\\/230\\\/460V-3 Phase\"},{\"URL\":\"tools\\\/rotary-screw-460v-3.html\",\"displayText\":\"460V-3 Phase\"}]},{\"URL\":\"stories\\\/284-How-to-Pick-The-Perfect-Rotary-Screw-Compressor.html\",\"type\":\"image\",\"title\":\"Buyer's Guide\",\"imageURL\":\"nav-article-image\\\/305\\\/social_img_284.jpg\",\"linkItems\":[],\"displayText\":\"Rotary Screw Compressor Buyer's Guide\"}]},{\"URL\":\"tools\\\/scroll-compressors.html\",\"displayText\":\"Scroll Air Compressors\",\"sectionLinks\":{\"columns\":\"6\",\"linkItems\":[{\"URL\":\"tools\\\/3-hp-scroll-compressors.html\",\"imageURL\":\"nav-image\\\/100\\\/scroll-1-1.jpg\",\"displayText\":\"3 HP\"},{\"URL\":\"tools\\\/5-hp-scroll-compressors.html\",\"imageURL\":\"nav-image\\\/100\\\/scroll-1-2.jpg\",\"displayText\":\"5 HP\"},{\"URL\":\"tools\\\/7-5-hp-scroll-compressors.html\",\"imageURL\":\"nav-image\\\/100\\\/scroll-1-3.jpg\",\"displayText\":\"7.5 HP\"},{\"URL\":\"tools\\\/10-hp-scroll-compressors.html\",\"imageURL\":\"nav-image\\\/100\\\/scroll-1-4.jpg\",\"displayText\":\"10 HP\"},{\"URL\":\"tools\\\/15-hp-scroll-compressors.html\",\"imageURL\":\"nav-image\\\/100\\\/scroll-1-5.jpg\",\"displayText\":\"15 HP\"}]},\"subCategories\":[{\"URL\":null,\"type\":\"list\",\"title\":\"Shop by Phase\",\"linkItems\":[{\"URL\":\"tools\\\/1-phase-scroll-compressors.html\",\"displayText\":\"Single- Phase\"},{\"URL\":\"tools\\\/3-phase-scroll-compressors.html\",\"displayText\":\"3-Phase\"}]},{\"URL\":null,\"type\":\"list\",\"title\":\"Shop by Brand\",\"linkItems\":[{\"URL\":\"tools\\\/quincy-scroll-compressors.html\",\"displayText\":\"Quincy\"},{\"URL\":\"tools\\\/atlas-copco-scroll-compressors.html\",\"displayText\":\"Atlas Copco\"},{\"URL\":\"tools\\\/powerex-scroll-compressors.html\",\"displayText\":\"Powerex\"}]},{\"URL\":null,\"type\":\"list\",\"title\":\"Shop by PSI\",\"linkItems\":[{\"URL\":\"tools\\\/145-psi-scroll-compressors.html\",\"displayText\":\"145 PSI\"},{\"URL\":\"tools\\\/141-psi-scroll-compressors.html\",\"displayText\":\"141 PSI\"},{\"URL\":\"tools\\\/116-psi-scroll-compressors.html\",\"displayText\":\"116 PSI\"},{\"URL\":\"tools\\\/112-psi-scroll-compressors.html\",\"displayText\":\"112 PSI\"},{\"URL\":\"tools\\\/100-psi-scroll-compressors.html\",\"displayText\":\"100 PSI\"}]},{\"URL\":\"stories\\\/1335-How-to-Pick-the-Perfect-Scroll-Air-Compressor.html\",\"type\":\"image\",\"title\":\"Buyer's Guide\",\"imageURL\":\"nav-article-image\\\/305\\\/social_img_1335.jpg\",\"linkItems\":[],\"displayText\":\"Scroll Compressor Buyer's Guide\"}]},{\"URL\":\"tools\\\/air-treatment.html\",\"displayText\":\"Air Treatment\",\"sectionLinks\":{\"columns\":\"6\",\"linkItems\":[{\"URL\":\"tools\\\/air-dryers.html\",\"imageURL\":\"nav-image\\\/100\\\/air-treatment-1-1.jpg\",\"displayText\":\"Air Dryers\"},{\"URL\":\"tools\\\/line-filters.html\",\"imageURL\":\"nav-image\\\/100\\\/air-treatment-1-2.jpg\",\"displayText\":\"Line Filters\"},{\"URL\":\"tools\\\/air-compressor-pressure-regulators.html\",\"imageURL\":\"nav-image\\\/100\\\/air-treatment-1-3.jpg\",\"displayText\":\"Regulators\"},{\"URL\":\"tools\\\/auto-drains.html\",\"imageURL\":\"nav-image\\\/100\\\/air-treatment-1-4.jpg\",\"displayText\":\"Auto Drains\"},{\"URL\":\"tools\\\/air-compressor-lubricators.html\",\"imageURL\":\"nav-image\\\/100\\\/air-treatment-1-5.jpg\",\"displayText\":\"Lubricators\"}]},\"subCategories\":[{\"URL\":null,\"type\":\"list\",\"title\":\"Shop Air Dryers by CFM\",\"linkItems\":[{\"URL\":\"tools\\\/216-cfm-air-dryers.html\",\"displayText\":\"216+ CFM\"},{\"URL\":\"tools\\\/212-cfm-air-dryers.html\",\"displayText\":\"212 CFM\"},{\"URL\":\"tools\\\/176-cfm-air-dryers.html\",\"displayText\":\"176 CFM\"},{\"URL\":\"tools\\\/120-cfm-air-dryers.html\",\"displayText\":\"120 CFM\"},{\"URL\":\"tools\\\/100-cfm-air-dryers.html\",\"displayText\":\"100 CFM\"}]},{\"URL\":null,\"type\":\"list\",\"title\":\"Shop Air Dryers by HP\",\"linkItems\":[{\"URL\":\"tools\\\/2-5-hp-air-dryers.html\",\"displayText\":\"2.5 HP\"},{\"URL\":\"tools\\\/5-hp-air-dryers.html\",\"displayText\":\"5 HP\"},{\"URL\":\"tools\\\/7-5-hp-air-dryers.html\",\"displayText\":\"7.5 HP\"},{\"URL\":\"tools\\\/10-hp-air-dryers.html\",\"displayText\":\"10 HP\"},{\"URL\":\"tools\\\/50-hp-air-dryers.html\",\"displayText\":\"50 HP\"}]},{\"URL\":null,\"type\":\"list\",\"title\":\"Line Filter Types\",\"linkItems\":[{\"URL\":\"tools\\\/water-separator-line-filters.html\",\"displayText\":\"Water Separator\"},{\"URL\":\"tools\\\/line-filter-combination-systems.html\",\"displayText\":\"Filter Combos\"},{\"URL\":\"tools\\\/general-purpose-line-filters.html\",\"displayText\":\"General Purpose\"},{\"URL\":\"tools\\\/dust-filtration-line-filters.html\",\"displayText\":\"Dust Filtration\"},{\"URL\":\"tools\\\/activated-carbon-line-filters.html\",\"displayText\":\"Activated Carbon\"}]},{\"URL\":\"stories\\\/1761-Everything-You-Need-to-Know-About-Compressed-Air-Treatment.html\",\"type\":\"image\",\"title\":\"Buyer's Guide\",\"imageURL\":\"nav-article-image\\\/305\\\/social_img_1761.jpg\",\"linkItems\":[],\"displayText\":\"The Ultimate Air Treatment Guide\"}]},{\"URL\":\"tools\\\/air-tools.html\",\"displayText\":\"Air Tools\",\"sectionLinks\":{\"columns\":\"6\",\"linkItems\":[{\"URL\":\"tools\\\/impact-wrenches-pneumatic.html\",\"imageURL\":\"nav-image\\\/100\\\/ACD-air-tools-impact-wrenches_7c56e8a9df67a237778d201dcc000c42.jpg\",\"displayText\":\"Impact Wrenches\"},{\"URL\":\"tools\\\/spray-guns.html\",\"imageURL\":\"nav-image\\\/100\\\/tools-1-2.jpg\",\"displayText\":\"Spray Guns\"},{\"URL\":\"tools\\\/sandblasters.html\",\"imageURL\":\"nav-image\\\/100\\\/tools-1-3.jpg\",\"displayText\":\"Sandblasting\"},{\"URL\":\"tools\\\/air-tool-kits.html\",\"imageURL\":\"nav-image\\\/100\\\/tools-1-4.jpg\",\"displayText\":\"Air Tool Kits\"},{\"URL\":\"tools\\\/demolition-tools.html\",\"imageURL\":\"nav-image\\\/100\\\/tools-1-5.jpg\",\"displayText\":\"Demolition Tools\"}]},\"subCategories\":[{\"URL\":null,\"type\":\"list\",\"title\":\"Popular Categories\",\"linkItems\":[{\"URL\":\"tools\\\/die-grinders.html\",\"displayText\":\"Die Grinders\"},{\"URL\":\"tools\\\/nailers.html\",\"displayText\":\"Nailers\"},{\"URL\":\"tools\\\/ratchets.html\",\"displayText\":\"Ratchets\"},{\"URL\":\"tools\\\/air-hammers.html\",\"displayText\":\"Air Hammers\"},{\"URL\":\"tools\\\/sanders.html\",\"displayText\":\"Sanders\"},{\"URL\":\"tools\\\/drills.html\",\"displayText\":\"Drills\"},{\"URL\":\"tools\\\/metal-cutting-tools.html\",\"displayText\":\"Cutting Tools\"},{\"URL\":\"tools\\\/air-nibblers.html\",\"displayText\":\"Air Nibblers\"}]},{\"URL\":null,\"type\":\"list\",\"title\":\"Shop Impact Wrenches by Size\",\"linkItems\":[{\"URL\":\"tools\\\/3-8-inch-impact-wrenches.html\",\"displayText\":\"3\\\/8\"},{\"URL\":\"tools\\\/1-2-inch-impact-wrenches.html\",\"displayText\":\"1\\\/2\"},{\"URL\":\"tools\\\/3-4-inch-impact-wrenches.html\",\"displayText\":\"3\\\/4\"},{\"URL\":\"tools\\\/1-inch-impact-wrenches.html\",\"displayText\":\"1\"}]},{\"URL\":\"stories\\\/142-How-To-Make-The-Switch-From-Electric-Tools-To-Air-Tools.html\",\"type\":\"image\",\"title\":\"Buyer's Guide\",\"imageURL\":\"nav-article-image\\\/305\\\/social_img_142.jpg\",\"linkItems\":[],\"displayText\":\"Why Air Tools Are Superior\"}]},{\"URL\":\"tools\\\/air-compressor-accessories.html\",\"displayText\":\"Accessories\",\"sectionLinks\":{\"columns\":\"6\",\"linkItems\":[{\"URL\":\"tools\\\/air-compressor-accessory-kits.html\",\"imageURL\":\"nav-image\\\/100\\\/acc-1-1.jpg\",\"displayText\":\"Accessory Kits\"},{\"URL\":\"tools\\\/air-hoses.html\",\"imageURL\":\"nav-image\\\/100\\\/acc-1-2.jpg\",\"displayText\":\"Air Hoses\"},{\"URL\":\"tools\\\/air-compressor-installation-kits.html\",\"imageURL\":\"nav-image\\\/100\\\/acc-1-3.jpg\",\"displayText\":\"Installation Kits\"},{\"URL\":\"tools\\\/air-compressor-pumps.html\",\"imageURL\":\"nav-image\\\/100\\\/acc-1-4.jpg\",\"displayText\":\"Pumps\"},{\"URL\":\"tools\\\/air-compressor-maintenance-kits.html\",\"imageURL\":\"nav-image\\\/100\\\/acc-1-5.jpg\",\"displayText\":\"Maintenance Kits\"},{\"URL\":\"tools\\\/air-compressor-air-delivery-systems.html\",\"imageURL\":\"nav-image\\\/100\\\/acc-1-6.jpg\",\"displayText\":\"Air Delivery Systems\"}]},\"subCategories\":[{\"URL\":null,\"type\":\"list\",\"title\":\"Popular Categories\",\"linkItems\":[{\"URL\":\"tools\\\/air-compressor-start-up-kits.html\",\"displayText\":\"Start Up Kits\"},{\"URL\":\"tools\\\/air-compressor-air-delivery-systems.html\",\"displayText\":\"Air Delivery Systems\"},{\"URL\":\"tools\\\/replacement-filters.html\",\"displayText\":\"Replacement Filters\"},{\"URL\":\"tools\\\/air-compressor-valves.html\",\"displayText\":\"Valves\"},{\"URL\":\"tools\\\/vibration-isolation-pads.html\",\"displayText\":\"Isolation Pads\"},{\"URL\":\"tools\\\/air-compressor-gauges.html\",\"displayText\":\"Gauges\"},{\"URL\":\"tools\\\/air-compressor-oil.html\",\"displayText\":\"Oil\"},{\"URL\":\"tools\\\/gas-cans.html\",\"displayText\":\"Gas Cans\"},{\"URL\":\"tools\\\/extension-cords.html\",\"displayText\":\"Extension Cords\"},{\"URL\":\"stories\\\/614-Where-to-Buy-Air-Compressor-Parts-Online.html\",\"displayText\":\"Parts\"}]},{\"URL\":null,\"type\":\"list\",\"title\":\"Shop Air Tanks by Gallon\",\"linkItems\":[{\"URL\":\"tools\\\/400-gallon-air-tanks.html\",\"displayText\":\"400 Gallon\"},{\"URL\":\"tools\\\/200-gallon-air-tanks.html\",\"displayText\":\"200 Gallon\"},{\"URL\":\"tools\\\/120-gallon-air-tanks.html\",\"displayText\":\"120 Gallon\"},{\"URL\":\"tools\\\/80-gallon-air-tanks.html\",\"displayText\":\"80 Gallon\"},{\"URL\":\"tools\\\/20-gallon-air-tanks.html\",\"displayText\":\"20 Gallon\"}]},{\"URL\":\"stories\\\/156-How-to-Pick-the-Perfect-Air-Compressor.html\",\"type\":\"image\",\"title\":\"Buyer's Guide\",\"imageURL\":\"nav-article-image\\\/305\\\/social_img_156.jpg\",\"linkItems\":[],\"displayText\":\"The Ultimate Air Compressor Guide\"}]},{\"URL\":\"how-to-library.php\",\"displayText\":\"How-to Library\",\"sectionLinks\":{\"columns\":\"6\",\"linkItems\":[{\"URL\":\"stories_info.php?stories_id=156\",\"imageURL\":\"nav-article-image\\\/305\\\/social_img_156.jpg\",\"displayText\":\"The Ultimate Air Compressor Guide\"},{\"URL\":\"stories_info.php?stories_id=657\",\"imageURL\":\"nav-article-image\\\/305\\\/social_img_657.jpg\",\"displayText\":\"Best Air Compressors\"},{\"URL\":\"stories_info.php?stories_id=1364\",\"imageURL\":\"nav-article-image\\\/305\\\/social_img_1364.jpg\",\"displayText\":\"Bring Down the Noise\"},{\"URL\":\"stories_info.php?stories_id=1582\",\"imageURL\":\"nav-article-image\\\/305\\\/social_img_1582.jpg\",\"displayText\":\"Is an Oil-Free Compressor Really Better?\"}]},\"subCategories\":[{\"URL\":null,\"type\":\"list\",\"title\":\"Helpful Articles\",\"linkItems\":[{\"URL\":\"stories_info.php?stories_id=1638\",\"displayText\":\"Air Compressors 101\"},{\"URL\":\"stories_info.php?stories_id=1639\",\"displayText\":\"Best Quiet Air Compressors\"},{\"URL\":\"stories_info.php?stories_id=284\",\"displayText\":\"Rotary Screw Compressor Buyer's Guide\"},{\"URL\":\"stories_info.php?stories_id=662\",\"displayText\":\"Best Portable Air Compressors\"},{\"URL\":\"stories_info.php?stories_id=282\",\"displayText\":\"Build Your Own Two-Stage Compressor\"},{\"URL\":\"stories_info.php?stories_id=257\",\"displayText\":\"Two-Stage Air Compressor Buyer's Guide\"},{\"URL\":\"stories_info.php?stories_id=663\",\"displayText\":\"Best Stationary Single-Stage Air Compressors\"},{\"URL\":\"stories_info.php?stories_id=287\",\"displayText\":\"Stationary Air Compressor Buyer's Guide\"},{\"URL\":\"stories_info.php?stories_id=1349\",\"displayText\":\"Should I Buy a VSD Rotary Screw Air Compressor?\"},{\"URL\":\"stories_info.php?stories_id=664\",\"displayText\":\"Top-10 Two-Stage Air Compressors\"}]},{\"URL\":\"how-to-library.php\",\"type\":\"button\",\"title\":\"Visit Our How-To Library\",\"linkItems\":[],\"displayText\":\"We make buying technical products simple.
- Johnson's Bath Bedtime
- Best Boutique Hotels In Oslo
- Blue Nile Earrings>sale
- Lamelo Ball Galaxy Shoes Release Date
- Quest Nutrition Ultimate Variety Pack
- Portable Accessible Ramp
- Torrid High Waisted Jeans
- 4 Electrical Conduit Near Me
- Map Of Delaware Maryland And Virginia
- Columbia Path Lake T Shirt
- V Shred Carb Cycling Schedule
- Memorial Day Acrylic Nail Designs
